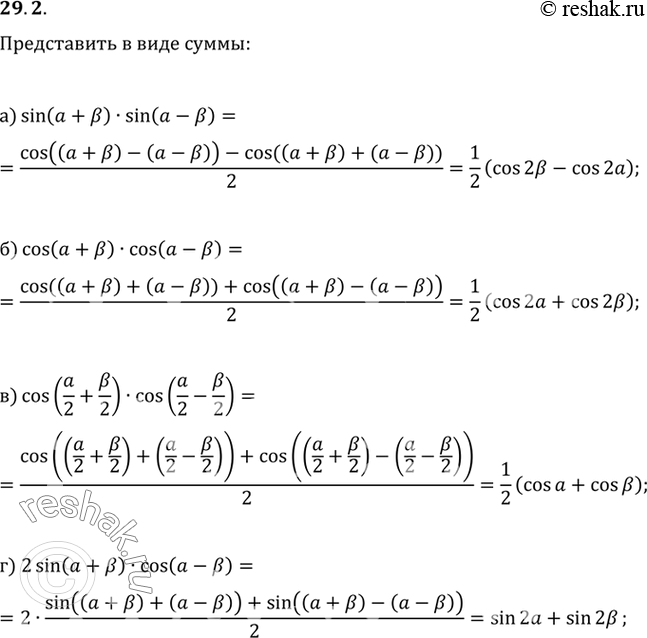
Упр.29.2 ГДЗ Мордковича 10 класс профильный уровень (Алгебра)
Решение #1
Решение #2(записки учителя)
Решение #3(записки школьника)

Рассмотрим вариант решения задания из учебника Мордкович, Семенов 10 класс, Мнемозина:
a) sin (а + b) sin (а - b);
б) cos (а + b) cos (а - b);
в) cos (a/2) cos (a/2 - b/2);
г) 2 sin (а + b) cos (а - b).
*размещая тексты в комментариях ниже, вы автоматически соглашаетесь с пользовательским соглашением